在車門關閉的過程中,車門速度是一個動態變化的值,關門速度值的大小與所選取的速度測量點位置密切相關,在對車身做高低溫開閉耐久實驗室,如何選擇試驗關閉速度,是關系到整個試驗是否成功,下面我們通過相關研究,得出一系列參考結果。
車身開閉件高低溫耐久測試的試驗關閉速度研究:
試驗設備:環儀儀器 車身開閉件高低溫耐久測試系統
關門速度的測量:
在車門關閉的過程中,車門速度是一個動態變化的值,關門速度值的大小與所選取的速度測量點位置密切相關,下圖是某車型開關門過程中車門的速度與角度的變化曲線。
某車型開關門角度示意圖:
從上圖可知,當車門完全打開時,車門開啟角度曲線上的 A 點對應為最大開門角度 63.5°。當車門關閉時,車門由A點運動至 B點的過程中速度急劇上升,最大關門速度出現在關門過程中的某點 B(-71°/s),對應的車門角度為 30°。
在車門由B點運動至℃點的過程中,由于限位器檔位的阻力作用,車門速度稍有下降,至C點時降為-63°/s,對應的車門角度為5°左右。
從 C點開始,車門開始受車門密封條的影響,速度急劇下降并最終至車門關閉位置停止。
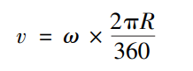
因此,將 C 點定義為測速臨界點,角速度與線速度的轉換公式為:
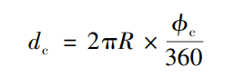
試驗中為了便于選定關門速度的測量位置,通常將車門開啟角度轉換為以長度為單位的車門開度。以上述車型為例,測速臨界點C對應的車門開度 dc的計算公式為
式中:φc 為 C點對應的開門角度,因此,關門測速的測量位置 dM>dc=87mm,取dM=100mm左右較為合理。
以上就是車身開閉件高低溫耐久測試的試驗關閉速度的研究,如有疑問,可以咨詢環儀儀器相關技術人員。













